Figure Caption Guidelines
Figure captions are an important aspect of scientific data reporting as they help readers understand and correctly interpret a figure. Any graph or image in a report is considered incomplete without a proper caption.
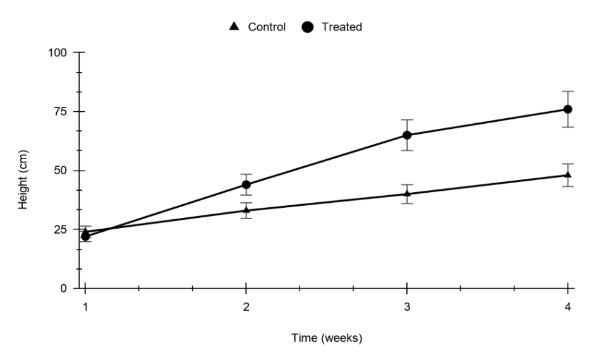
Figure 1. Ammonium Sulfate treatment increases the growth rate of tomato plants (Solanum lycopersicum). Control plants (n = 3) received no treatment while treated plants (n = 3) received dry ammonium sulfate ((NH4)2SO4) at week one. Error bars represent standard errors of the mean, averages are plotted.

Figure 2. Increase in frequency of proper mask usage in indoor vs outdoor settings. Proper mask usage was defined as wearing a mask that covered the mouth and nose entirely. Data calculated from Santa Clara University fall 2020 BIOL 1B class data.
Essential Components:
1. Figure Number
Figures should be numbered using the order in which they appear in a text. (Typically in bold font)
2. Figure Title
A figure title informs the viewer what they should learn from the graph or figure. This should not be a full sentence or a statement of the axis titles; rather, it should provide context for the figure. (Typically in bold font)
3. Figure Description
The figure description follows the title and should include any information readers may need to properly understand the figure. This is typically in normal font and may include
- specifications of what statistics are shown (average, range, etc.)
- explanations of what any different markers represent (if not already given in a legend)
- sample sizes (n=X)
- definitions of any abbreviations (no need to define common abbreviations such as mL, ppm, etc.)
- references to any table where data was given
DO NOT simply restate information already given in the figure or analysis of the data. Note: figure captions go below the figure; table titles should go above the table. Table titles do not contain descriptions, but they may include footnotes to provide any additional necessary information.
Note: figure captions go below the figure; table titles should go above the table. Table titles do not contain descriptions, but they may include footnotes to provide any additional necessary information.
Developed by Jordyn Quesenberry, HUB Writing Partner. Data and info based on fall 2020 BIOL 1B class taught by Dr. Cocas and Dr. Whittall.